Last Updated: 1 Day Ago

Monthly Rent

$1,150

Beds

3

Baths

1

* Price shown is base rent. Excludes user-selected optional fees and variable or usage-based fees and required charges due at or prior to move-in or at move-out. View Fees and Policies for details. Price, availability, fees, and any applicable rent special are subject to change without notice.

Note: Prices and availability subject to change without notice.

Lease Terms

Contact office for Lease Terms

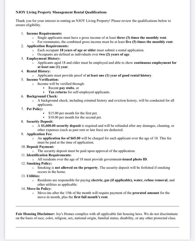
Fees and Policies

The fees below are based on community-supplied data and may exclude additional fees and utilities.

  • Dogs
    • Allowed
  • Cats
    • Allowed

Property Fee Disclaimer: Based on community-supplied data and independent market research. Subject to change without notice. May exclude fees for mandatory or optional services and usage-based utilities.

About 6321 Johnnie Terrace

Welcome to 6321 Johnnie Ter, Oklahoma City, OK 73149 — a cozy and functional single-family home located in a quiet neighborhood. This property offers 3 bedrooms and 1 full bathroom with approximately 850 square feet of living space, making it a great fit for families, roommates, or anyone looking for a comfortable place to call home.Home Features:•-3 Bedrooms / 1 Bathroom• Approx. 850 sq. ft.• Central heat and air• Refrigerator included• Washer & dryer hookups• Attached garage plus off-street parking• Spacious fenced yard — great for outdoor enjoymentAdditional Details:• Pets considered (cats and dogs; restrictions may apply)• Tenant responsible for utilities• Security deposit requiredLocation:Conveniently located with quick access to shopping, dining, schools, and major roads while still offering a residential feel

6321 Johnnie Terrace is located in Oklahoma City, Oklahoma in the 73149 zip code.

Protect yourself from fraud. Do not send money to anyone you don't know.

Community Features

  • Storage Space
  • Fenced Lot

Floorplan Amenities

  • Washer/Dryer
  • Tile Floors

Pet Policy

  • Cats and Dogs Allowed

Airport

  • Will Rogers World

    Drive: 18 min 7.5 mi

Commuter Rail

  • Oklahoma City

    Drive: 9 min 5.0 mi
  • Norman Amtrak Station

    Drive: 21 min 13.8 mi

Transit / Subway

  • Santa Fe Hub

    Drive: 8 min 4.9 mi
  • Scissortail Park

    Drive: 9 min 4.9 mi
  • Arena

    Drive: 9 min 5.0 mi
  • Ballpark

    Drive: 9 min 5.1 mi
  • Century Center

    Drive: 9 min 5.1 mi

Universities

Parks & Recreation

  • Myriad Botanical Gardens

    Drive: 9 min 5.1 mi
  • Museum of Osteology

    Drive: 9 min 6.0 mi
  • Oklahoma City National Memorial

    Drive: 10 min 6.9 mi
  • South Lakes Regional Park

    Drive: 13 min 8.5 mi
  • Oklahoma Railway Museum

    Drive: 14 min 8.8 mi

Shopping Centers & Malls

Military Bases

Schools

GreatSchools Rating

Private Elementary School

23 Students
(405) 632-0800
Grades PK-5

Data provided by GreatSchools.org 2025 © 2025. All rights reserved.

Similar Nearby Apartments with Available Units

  • = This Property
  • = Similar Nearby Apartments

Ratings

Walkability

NR
Not Rated

Transit

NR
Not Rated

Bikeability

NR
Not Rated
Report an Issue


6321 Johnnie Terrace
I would like to...
0 out of 400 characters
(405) 435-9389

Submitting Request

Thank You

Your email has been sent.

}